seaborn.boxplot#

seaborn.boxplot(data=None, *, x=None, y=None, hue=None, order=None, hue_order=None, orient=None, color=None, palette=None, saturation=0.75, fill=True, dodge='auto', width=0.8, gap=0, whis=1.5, linecolor='auto', linewidth=None, fliersize=None, hue_norm=None, native_scale=False, log_scale=None, formatter=None, legend='auto', ax=None, **kwargs)#

Draw a box plot to show distributions with respect to categories.

A box plot (or box-and-whisker plot) shows the distribution of quantitative data in a way that facilitates comparisons between variables or across levels of a categorical variable. The box shows the quartiles of the dataset while the whiskers extend to show the rest of the distribution, except for points that are determined to be “outliers” using a method that is a function of the inter-quartile range.

See the tutorial for more information.

Note

By default, this function treats one of the variables as categorical and draws data at ordinal positions (0, 1, … n) on the relevant axis. As of version 0.13.0, this can be disabled by setting native_scale=True.

Parameters:
dataDataFrame, Series, dict, array, or list of arrays

Dataset for plotting. If x and y are absent, this is interpreted as wide-form. Otherwise it is expected to be long-form.

x, y, huenames of variables in data or vector data

Inputs for plotting long-form data. See examples for interpretation.

order, hue_orderlists of strings

Order to plot the categorical levels in; otherwise the levels are inferred from the data objects.

orient“v” | “h” | “x” | “y”

Orientation of the plot (vertical or horizontal). This is usually inferred based on the type of the input variables, but it can be used to resolve ambiguity when both x and y are numeric or when plotting wide-form data.

Changed in version v0.13.0: Added ‘x’/’y’ as options, equivalent to ‘v’/’h’.

colormatplotlib color

Single color for the elements in the plot.

palettepalette name, list, or dict

Colors to use for the different levels of the hue variable. Should be something that can be interpreted by color_palette(), or a dictionary mapping hue levels to matplotlib colors.

saturationfloat

Proportion of the original saturation to draw fill colors in. Large patches often look better with desaturated colors, but set this to 1 if you want the colors to perfectly match the input values.

fillbool

If True, use a solid patch. Otherwise, draw as line art.

New in version v0.13.0.

dodge“auto” or bool

When hue mapping is used, whether elements should be narrowed and shifted along the orient axis to eliminate overlap. If "auto", set to True when the orient variable is crossed with the categorical variable or False otherwise.

Changed in version 0.13.0: Added "auto" mode as a new default.

widthfloat

Width allotted to each element on the orient axis. When native_scale=True, it is relative to the minimum distance between two values in the native scale.

gapfloat

Shrink on the orient axis by this factor to add a gap between dodged elements.

New in version 0.13.0.

whisfloat or pair of floats

Paramater that controls whisker length. If scalar, whiskers are drawn to the farthest datapoint within whis * IQR from the nearest hinge. If a tuple, it is interpreted as percentiles that whiskers represent.

linecolorcolor

Color to use for line elements, when fill is True.

New in version v0.13.0.

linewidthfloat

Width of the lines that frame the plot elements.

fliersizefloat

Size of the markers used to indicate outlier observations.

hue_normtuple or matplotlib.colors.Normalize object

Normalization in data units for colormap applied to the hue variable when it is numeric. Not relevant if hue is categorical.

New in version v0.12.0.

log_scalebool or number, or pair of bools or numbers

Set axis scale(s) to log. A single value sets the data axis for any numeric axes in the plot. A pair of values sets each axis independently. Numeric values are interpreted as the desired base (default 10). When None or False, seaborn defers to the existing Axes scale.

New in version v0.13.0.

native_scalebool

When True, numeric or datetime values on the categorical axis will maintain their original scaling rather than being converted to fixed indices.

New in version v0.13.0.

formattercallable

Function for converting categorical data into strings. Affects both grouping and tick labels.

New in version v0.13.0.

legend“auto”, “brief”, “full”, or False

How to draw the legend. If “brief”, numeric hue and size variables will be represented with a sample of evenly spaced values. If “full”, every group will get an entry in the legend. If “auto”, choose between brief or full representation based on number of levels. If False, no legend data is added and no legend is drawn.

New in version v0.13.0.

axmatplotlib Axes

Axes object to draw the plot onto, otherwise uses the current Axes.

kwargskey, value mappings

Other keyword arguments are passed through to matplotlib.axes.Axes.boxplot().

Returns:
axmatplotlib Axes

Returns the Axes object with the plot drawn onto it.

See also

violinplot

A combination of boxplot and kernel density estimation.

stripplot

A scatterplot where one variable is categorical. Can be used in conjunction with other plots to show each observation.

swarmplot

A categorical scatterplot where the points do not overlap. Can be used with other plots to show each observation.

catplot

Combine a categorical plot with a FacetGrid.

Examples

Draw a single horizontal boxplot, assigning the data directly to the coordinate variable:

sns.boxplot(x=titanic["age"])
../_images/boxplot_1_0.png

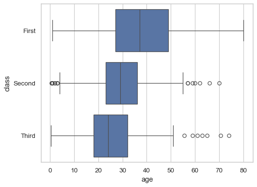
Group by a categorical variable, referencing columns in a dataframe:

sns.boxplot(data=titanic, x="age", y="class")
../_images/boxplot_3_0.png

Draw a vertical boxplot with nested grouping by two variables:

sns.boxplot(data=titanic, x="class", y="age", hue="alive")
../_images/boxplot_5_0.png

Draw the boxes as line art and add a small gap between them:

sns.boxplot(data=titanic, x="class", y="age", hue="alive", fill=False, gap=.1)
../_images/boxplot_7_0.png

Cover the full range of the data with the whiskers:

sns.boxplot(data=titanic, x="age", y="deck", whis=(0, 100))
../_images/boxplot_9_0.png

Draw narrower boxes:

sns.boxplot(data=titanic, x="age", y="deck", width=.5)
../_images/boxplot_11_0.png

Modify the color and width of all the line artists:

sns.boxplot(data=titanic, x="age", y="deck", color=".8", linecolor="#137", linewidth=.75)
../_images/boxplot_13_0.png

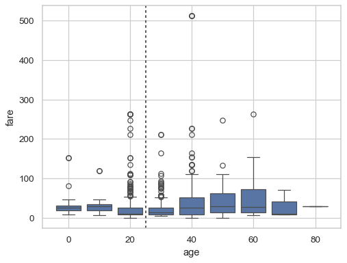
Group by a numeric variable and preserve its native scaling:

ax = sns.boxplot(x=titanic["age"].round(-1), y=titanic["fare"], native_scale=True)
ax.axvline(25, color=".3", dashes=(2, 2))
../_images/boxplot_15_0.png

Customize the plot using parameters of the underlying matplotlib function:

sns.boxplot(
    data=titanic, x="age", y="class",
    notch=True, showcaps=False,
    flierprops={"marker": "x"},
    boxprops={"facecolor": (.3, .5, .7, .5)},
    medianprops={"color": "r", "linewidth": 2},
)
../_images/boxplot_17_0.png