seaborn.catplot#

seaborn.catplot(data=None, *, x=None, y=None, hue=None, row=None, col=None, kind='strip', estimator='mean', errorbar=('ci', 95), n_boot=1000, seed=None, units=None, weights=None, order=None, hue_order=None, row_order=None, col_order=None, col_wrap=None, height=5, aspect=1, log_scale=None, native_scale=False, formatter=None, orient=None, color=None, palette=None, hue_norm=None, legend='auto', legend_out=True, sharex=True, sharey=True, margin_titles=False, facet_kws=None, ci=<deprecated>, **kwargs)#

Figure-level interface for drawing categorical plots onto a FacetGrid.

This function provides access to several axes-level functions that show the relationship between a numerical and one or more categorical variables using one of several visual representations. The kind parameter selects the underlying axes-level function to use.

Categorical scatterplots:

Categorical distribution plots:

Categorical estimate plots:

Extra keyword arguments are passed to the underlying function, so you should refer to the documentation for each to see kind-specific options.

See the tutorial for more information.

Note

By default, this function treats one of the variables as categorical and draws data at ordinal positions (0, 1, … n) on the relevant axis. As of version 0.13.0, this can be disabled by setting native_scale=True.

After plotting, the FacetGrid with the plot is returned and can be used directly to tweak supporting plot details or add other layers.

Parameters:
dataDataFrame, Series, dict, array, or list of arrays

Dataset for plotting. If x and y are absent, this is interpreted as wide-form. Otherwise it is expected to be long-form.

x, y, huenames of variables in data or vector data

Inputs for plotting long-form data. See examples for interpretation.

row, colnames of variables in data or vector data

Categorical variables that will determine the faceting of the grid.

kindstr

The kind of plot to draw, corresponds to the name of a categorical axes-level plotting function. Options are: “strip”, “swarm”, “box”, “violin”, “boxen”, “point”, “bar”, or “count”.

estimatorstring or callable that maps vector -> scalar

Statistical function to estimate within each categorical bin.

errorbarstring, (string, number) tuple, callable or None

Name of errorbar method (either “ci”, “pi”, “se”, or “sd”), or a tuple with a method name and a level parameter, or a function that maps from a vector to a (min, max) interval, or None to hide errorbar. See the errorbar tutorial for more information.

New in version v0.12.0.

n_bootint

Number of bootstrap samples used to compute confidence intervals.

seedint, numpy.random.Generator, or numpy.random.RandomState

Seed or random number generator for reproducible bootstrapping.

unitsname of variable in data or vector data

Identifier of sampling units; used by the errorbar function to perform a multilevel bootstrap and account for repeated measures

weightsname of variable in data or vector data

Data values or column used to compute weighted statistics. Note that the use of weights may limit other statistical options.

New in version v0.13.1.

order, hue_orderlists of strings

Order to plot the categorical levels in; otherwise the levels are inferred from the data objects.

row_order, col_orderlists of strings

Order to organize the rows and/or columns of the grid in; otherwise the orders are inferred from the data objects.

col_wrapint

“Wrap” the column variable at this width, so that the column facets span multiple rows. Incompatible with a row facet.

heightscalar

Height (in inches) of each facet. See also: aspect.

aspectscalar

Aspect ratio of each facet, so that aspect * height gives the width of each facet in inches.

native_scalebool

When True, numeric or datetime values on the categorical axis will maintain their original scaling rather than being converted to fixed indices.

New in version v0.13.0.

formattercallable

Function for converting categorical data into strings. Affects both grouping and tick labels.

New in version v0.13.0.

orient“v” | “h” | “x” | “y”

Orientation of the plot (vertical or horizontal). This is usually inferred based on the type of the input variables, but it can be used to resolve ambiguity when both x and y are numeric or when plotting wide-form data.

Changed in version v0.13.0: Added ‘x’/’y’ as options, equivalent to ‘v’/’h’.

colormatplotlib color

Single color for the elements in the plot.

palettepalette name, list, or dict

Colors to use for the different levels of the hue variable. Should be something that can be interpreted by color_palette(), or a dictionary mapping hue levels to matplotlib colors.

hue_normtuple or matplotlib.colors.Normalize object

Normalization in data units for colormap applied to the hue variable when it is numeric. Not relevant if hue is categorical.

New in version v0.12.0.

legend“auto”, “brief”, “full”, or False

How to draw the legend. If “brief”, numeric hue and size variables will be represented with a sample of evenly spaced values. If “full”, every group will get an entry in the legend. If “auto”, choose between brief or full representation based on number of levels. If False, no legend data is added and no legend is drawn.

New in version v0.13.0.

legend_outbool

If True, the figure size will be extended, and the legend will be drawn outside the plot on the center right.

share{x,y}bool, ‘col’, or ‘row’ optional

If true, the facets will share y axes across columns and/or x axes across rows.

margin_titlesbool

If True, the titles for the row variable are drawn to the right of the last column. This option is experimental and may not work in all cases.

facet_kwsdict

Dictionary of other keyword arguments to pass to FacetGrid.

kwargskey, value pairings

Other keyword arguments are passed through to the underlying plotting function.

Returns:
FacetGrid

Returns the FacetGrid object with the plot on it for further tweaking.

Examples

By default, the visual representation will be a jittered strip plot:

df = sns.load_dataset("titanic")
sns.catplot(data=df, x="age", y="class")
../_images/catplot_1_0.png

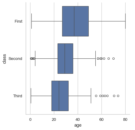
Use kind to select a different representation:

sns.catplot(data=df, x="age", y="class", kind="box")
../_images/catplot_3_0.png

One advantage is that the legend will be automatically placed outside the plot:

sns.catplot(data=df, x="age", y="class", hue="sex", kind="boxen")
../_images/catplot_5_0.png

Additional keyword arguments get passed through to the underlying seaborn function:

sns.catplot(
    data=df, x="age", y="class", hue="sex",
    kind="violin", bw_adjust=.5, cut=0, split=True,
)
../_images/catplot_7_0.png

Assigning a variable to col or row will automatically create subplots. Control figure size with the height and aspect parameters:

sns.catplot(
    data=df, x="class", y="survived", col="sex",
    kind="bar", height=4, aspect=.6,
)
../_images/catplot_9_0.png

For single-subplot figures, it is easy to layer different representations:

sns.catplot(data=df, x="age", y="class", kind="violin", color=".9", inner=None)
sns.swarmplot(data=df, x="age", y="class", size=3)
../_images/catplot_11_0.png

Use methods on the returned FacetGrid to tweak the presentation:

g = sns.catplot(
    data=df, x="who", y="survived", col="class",
    kind="bar", height=4, aspect=.6,
)
g.set_axis_labels("", "Survival Rate")
g.set_xticklabels(["Men", "Women", "Children"])
g.set_titles("{col_name} {col_var}")
g.set(ylim=(0, 1))
g.despine(left=True)
../_images/catplot_13_0.png