pandas.Series.plot.box#

Series.plot.коробка(by=None, **kwargs)[источник]#

Построить диаграмму размаха (ящик с усами) для столбцов DataFrame.

Боксплот — это метод графического изображения групп числовых данных через их квартили. Коробка простирается от значений квартилей Q1 до Q3 данных, с линией на медиане (Q2). Усы простираются от краёв коробки, чтобы показать диапазон данных. Положение усов по умолчанию установлено на 1.5*IQR (IQR = Q3 - Q1) от краёв коробки. Выбросы — это точки за концами усов.

Для получения дополнительных сведений см. запись в Википедии для boxplot.

Важное замечание при использовании этой диаграммы: прямоугольник и усы могут перекрываться, что очень часто происходит при построении небольших наборов данных.

Параметры:
bystr или последовательность

Столбец в DataFrame для группировки.

Изменено в версии 1.4.0: Ранее, by тихо игнорируется и не создаёт группировок

**kwargs

Дополнительные ключевые слова задокументированы в DataFrame.plot().

Возвращает:
matplotlib.axes.Axes или numpy.ndarray из них

Смотрите также

DataFrame.boxplot

Ещё один метод для построения диаграммы размаха.

Series.plot.box

Построить диаграмму размаха из объекта Series.

matplotlib.pyplot.boxplot

Нарисовать диаграмму размаха в matplotlib.

Примеры

Построение диаграммы размаха из DataFrame с четырьмя столбцами случайно сгенерированных данных.

>>> data = np.random.randn(25, 4)
>>> df = pd.DataFrame(data, columns=list('ABCD'))
>>> ax = df.plot.box()
../../_images/pandas-Series-plot-box-1.png

Вы также можете сгенерировать группировки, если укажете by параметр (который может принимать имя столбца, или список, или кортеж имен столбцов):

Изменено в версии 1.4.0.

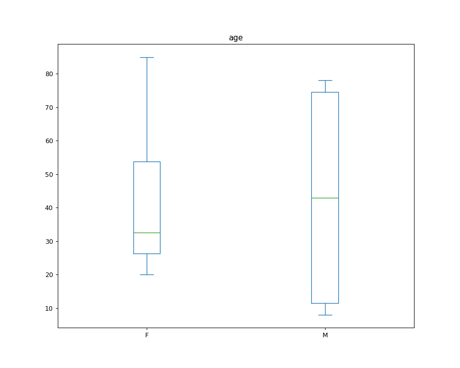
>>> age_list = [8, 10, 12, 14, 72, 74, 76, 78, 20, 25, 30, 35, 60, 85]
>>> df = pd.DataFrame({"gender": list("MMMMMMMMFFFFFF"), "age": age_list})
>>> ax = df.plot.box(column="age", by="gender", figsize=(10, 8))
../../_images/pandas-Series-plot-box-2.png