numpy.random.Generator.pareto#

метод

random.Generator.pareto(a, размер=None)#

Извлекает выборки из распределения Парето II (также известного как Ломакс) с заданной формой.

Параметры:
afloat или array_like из float

Форма распределения. Должна быть положительной.

размерint или кортеж ints, опционально

Форма вывода. Если заданная форма, например, (m, n, k), затем m * n * k образцы извлекаются. Если size равен None (по умолчанию), возвращается единственное значение, если a является скаляром. В противном случае, np.array(a).size выбираются образцы.

Возвращает:
выходndarray или скаляр

Выборки из распределения Парето II.

Смотрите также

scipy.stats.pareto

Распределение Парето I

scipy.stats.lomax

Распределение Ломакса (Парето II)

scipy.stats.genpareto

Обобщённое распределение Парето

Примечания

Функция плотности вероятности для распределения Парето II равна

\[p(x) = \frac{a}{(x+1)^{a+1}} , x \ge 0\]

где \(a > 0\) это форма.

Распределение Парето II — это сдвинутая и масштабированная версия распределения Парето I, которое можно найти в scipy.stats.pareto.

Ссылки

[1]

Фрэнсис Хант и Пол Джонсон, О распределении Парето проектов Sourceforge.

[2]

Парето, В. (1896). Курс политической экономии. Лозанна.

[3]

Reiss, R.D., Thomas, M.(2001), Statistical Analysis of Extreme Values, Birkhauser Verlag, Basel, pp 23-30.

[4]

Википедия, "Распределение Парето", https://en.wikipedia.org/wiki/Pareto_distribution

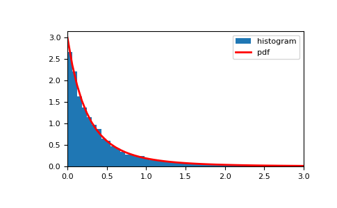
Примеры

Извлечь выборки из распределения:

>>> a = 3.
>>> rng = np.random.default_rng()
>>> s = rng.pareto(a, 10000)

Отобразить гистограмму выборок вместе с функцией плотности вероятности:

>>> import matplotlib.pyplot as plt
>>> x = np.linspace(0, 3, 50)
>>> pdf = a / (x+1)**(a+1)
>>> plt.hist(s, bins=x, density=True, label='histogram')
>>> plt.plot(x, pdf, linewidth=2, color='r', label='pdf')
>>> plt.xlim(x.min(), x.max())
>>> plt.legend()
>>> plt.show()
../../../_images/numpy-random-Generator-pareto-1.png